
Rosin ester polyols (commonly known as “rosin polyester polyols”), derived from natural rosin resin from forest products, are a class of bio-based oligomeric polyols. They are generally used as raw materials for rigid polyurethane foams, offering comparable foam performance to those made with polyether polyols and are also competitively priced.
Rosin is a complex mixture of fused heterocyclic natural compounds with a complex chemical composition. Its general molecular formula is C19H29COOH. Depending on the origin, the main component is resin acid, primarily abietic acid, along with small amounts of fatty acids and neutral substances (resin hydrocarbons).
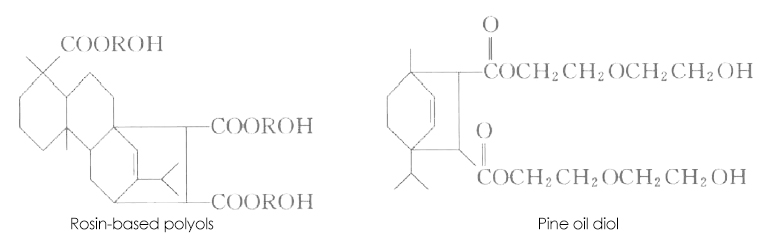
Most rosin molecules contain only one carboxylic acid group, with only a small amount of levopimaric acid. Therefore, rosin usually needs to be modified before being introduced into the polyol reaction to prepare rosin-based polyols.
One method of modifying rosin is to react it with maleic anhydride to prepare maleated rosin containing three carboxylic acid (anhydride) groups. The resin acids in rosin, except for levopimaric acid, do not directly undergo addition reactions with maleic anhydride. However, when abietic acid, neoabietic acid, and palustric acid isomerize to levopimaric acid under heating conditions, they can undergo a Diels-Alder addition reaction with maleic anhydride (maleic anhydride) to produce maleated rosin with maleopimaric acid as the main component. Maleopimaric acid molecules have three carboxyl functional groups, which react with excess diol to produce rosin ester polyols.

Maleated rosin and polyols (such as diethylene glycol, ethylene glycol) undergo esterification and melt polycondensation reactions under nitrogen protection. The reaction is stopped when the acid value drops to 5 mg KOH/g. By changing the ratio of maleated rosin to polyol and the composition of the polyol, rosin ester polyols with different hydroxyl values and maleated rosin ester polyols as the main component can be obtained.

Another method is to modify rosin into a dicarboxylic acid, and then react it with excess small-molecule polyols to prepare rosin ester polyols. Methods for obtaining modified rosin dicarboxylic acid include rosin dimerization, rosin-formaldehyde addition, and acrylic acid modification.
In addition, the turpentine-maleic anhydride adduct diglycol ester polyol is also a complex mixture. This turpentine ester diol is a natural product diol with a bicyclic diester structure.
Mixed rosin ester polyols can also be obtained by adding aliphatic and aromatic dicarboxylic acids (or anhydrides) during the preparation of rosin ester polyols.
Because typical rosin ester polyol products have high hydroxyl values and low molecular weights, they are not actually polyesters. Therefore, the name “rosin ester polyol” is more scientifically accurate than “rosin polyester polyol.”
Rosin ester polyols are mainly used in the production of cast and spray polyurethane rigid foams, and are characterized by good miscibility with other raw materials, good adhesion, fine cell structure, and excellent heat resistance and flame retardancy.
PREVIOUS:Palm Oil Polyols
Tel:+86 18688691634
Email:sam@1688pu.com
Add:No. 91 Central East Rd, Luxi Village, Gaobu Town, Dongguan 523283, China.