
Abbreviations: TPTI, JQ-4, Desmodur RF, Desmodur RFE
Synonyms: Tris(4-isocyanatophenyl) thiophosphate, Tris(4-isocyanatophenyl) thiophosphate ester, Tris(phenyl isocyanate) thiophosphate, 4,4′,4”-Triphenyl thiophosphate triisocyanate, Triphenyl thiophosphate triisocyanate, 4,4′,4”-Triisocyanato triphenyl thiophosphate
Molecular formula: C21H12N3O6SP
Molecular weight: 465.38
CAS number: 4151-51-3
EINECS number: 223-981-9
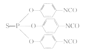
Structural formula:

Physicochemical Properties
At room temperature, pure tris(4-phenyl isocyanate) thiophosphate (TPTI) is a solid with a melting point of 84–86°C and a theoretical NCO content of 27%. TPTI is readily soluble in solvents such as benzene, toluene, chlorobenzene, and dichloromethane. TPTI is more soluble in polar solvents than TTI. TPTI reacts easily with water or moisture and solidifies.
Tris(4-phenyl isocyanate) thiophosphate is generally sold and used as a solution, appearing as a colorless to light yellow to light brown transparent liquid.
The early TPTI solution brand launched by Bayer AG was Desmodur RF, which used dichloromethane as a solvent, with a solid content of 20%, a density (20°C) of approximately 1.32 g/cm³, an NCO content of (5.4 ± 0.2)%, and a viscosity (20°C) of (3 ± 1) mPa·s. Later, Bayer changed the solvent to ethyl acetate, and the solid content was also increased. The product name was changed to Desmodur RFE, and its main specifications are as follows: TPTI content (non-volatile content) is approximately 27%, NCO content is (7.2±0.2)%, density (20℃) is approximately 1.0 g/cm³, viscosity (20℃) is approximately 3 mPa·s, and the flash point is -4℃.
Liaoning Hongshan Chemical Co., Ltd. (product originally from Dalian Tailai Chemical Company) produces JQ-4 and JQ-4, whose solid content and NCO content are similar to Desmodur RFE.
Hangzhou Yilian Chemical Co., Ltd.’s TPTI product is a light yellow solid with a purity of ≥97.0%. Its several solution products are light yellow to light brown transparent liquids. Among them, Hardlion RFE uses ethyl acetate as the solvent, with a solid content of (27.0±0.5)% and an NCO mass fraction of (7.2±0.2)%; Hardlion RF220 uses dichloromethane as the solvent, with a solid content of (20.0±0.5)% and an NCO mass fraction of (5.4±0.2)%; Hardlion RF218 uses a mixed solvent of dichloromethane and ethyl acetate, with a solid content of (18.0±0.5)% and an NCO mass fraction of (4.5±0.2)%.
The TPTI solution has a shear bonding strength of greater than 4 MPa between 5470# rubber and aluminum or duralumin.
Characteristics and Uses
Tris(4-phenyl isocyanate) thiophosphate is light in color and hardly changes color when exposed to light. Its solution, like triphenylmethane triisocyanate solution, can be used alone as an adhesive for rubber and metal, and as a crosslinking and curing agent for rubber solution adhesives and solvent-based polyurethane adhesives. The dosage is generally 4% to 7% of the above-mentioned solvent-based adhesives. It is particularly suitable for bonding colorless or light-colored products. Specific applications include: bonding of vulcanized (or unvulcanized) rubber and polymer materials such as PVC, PU, and SBS to metals (iron/aluminum); acting as a curing agent for neoprene adhesives to improve bonding strength; a curing agent for rubber-to-fabric bonding; a crosslinking agent for hydroxyl components in polyurethane products (elastomers, coatings, etc.); and widely used as a crosslinking agent for hydroxyl-terminated polyurethane adhesives in the footwear industry, improving initial bonding strength and heat resistance, among other properties.
PREVIOUS:Triphenylmethane Triisocyanate
Tel:+86 18688691634
Email:sam@1688pu.com
Add:No. 91 Central East Rd, Luxi Village, Gaobu Town, Dongguan 523283, China.